Ansys Zemax | OpticStudio中如何对衍射面进行建模

时间:2026-04-10  浏览量:2

OpticStudio中的衍射建模

OpticStudio将衍射光焦度建模为独立于基底折射率和表面矢高的参数;衍射光焦度会为光线引入相位变化。OpticStudio中所有衍射表面对光线的偏折遵循以下公式:

其中
· M 是衍射级次
· λ 是波长
· T 是光栅周期
上述公式是折射的斯涅尔定律,外加一个代表衍射的额外光线偏折项。下图展示了无折射光焦度的衍射表面在光线垂直入射(sinθ=0)时的衍射情况。
衍射光栅表面具有沿某一轴线的恒定周期光栅线,常用于光谱仪中。计算机生成衍射表面的真正强大之处在于,可以使光栅周期在表面空间上变化,从而能精确地在需要的地方增加衍射能力。
例如:
  • 可变线距光栅表面允许光栅周期变化,用于模拟啁啾光栅
  • 二元1表面允许光栅周期作为x-y多项式展开变化
  • 二元2表面允许光栅周期作为旋转对称多项式变化(常用于像差校正)
  • 存在一系列多项式曲面,它们利用几乎任何多项式扩展来描述光栅间距的变化。
  • 网格相位表面允许使用任意一组{x,y}点来定义任意位置处所添加的相位。
  • 如果OpticStudio中没有现成的合适表面类型,可以自定义表面来描述所需的任意轮廓
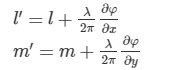
在所有上述情况下,OpticStudio将衍射效应建模为表面的相位轮廓。光线会因衍射引入的相位轮廓梯度而发生偏转。

  • 相位 φ(以弧度为单位)会叠加到光线的光程上。

其中 λ 表示波长。

  • 相位轮廓的梯度(相位斜率)会改变光线方向。

其中 l 表示光线在 x 方向的方向余弦,m 表示光线在 y 方向的方向余弦。
因此设计流程是先计算所需的相位分布,再计算产生该相位分布所需的光栅结构。
在镜头数据编辑器中需要为每个衍射面指定衍射级次。通过多性向配置可同时模拟多个衍射级次,如下图所示。
根据上述方程,衍射角仅取决于入射光照射的重复结构周期 (T),而非该特定周期内结构的形状。表面结构确实会影响衍射效率,这是几何光线模型无法描述的。此处假设指定衍射级的效率为100%,即所有入射到衍射表面的光线都将以指定衍射级的角度出射。
衍射级次的符号决定了衍射角相对于光轴的正负。衍射级次的符号约定完全是任意的。OpticStudio采用的约定是:正衍射级次对应正衍射角(相对于光轴)。
OpticStudio中的衍射表面可同时具备折射与衍射能力。根据手册中描述的公式,衍射能力会在表面引入连续相位变化。由于相位是连续的,这些表面代表理想的衍射光学元件(DOE),其衍射结构周期相对于波长而言无限小或至少非常小。
# 02
Kinoform与二元衍射面

为了最大化衍射光学元件(DOE)的衍射效率,可对衍射区内的表面矢高进行设计,使波前相位与(目标衍射级的)衍射波处处平行。图13.3(b)展示了一种"闪耀"透射光栅,其闪耀角经过优化以实现特定衍射级的效率最大化[1]。
上图(b)所示具有连续表面轮廓的衍射光学元件通常被称为kinoform。若其矢高由离散台阶近似(如光刻工艺常见情况),则普遍称为二元光学元件(参见下图)[1]。OpticStudio中的衍射表面更接近于kinoforms而非严格意义上的二元光学,因为其相位处处连续。具体采用何种表面结构来近似模拟衍射面的相位模型,最终由用户自行决定。
下图展示了二进制表面理论效率与步骤数量的函数关系[1]。
图片
# 03
参考文献

  1. 《光学系统设计》罗伯特·E·菲舍尔、比利亚娜·塔迪奇-加莱布与保罗·约德合著


上一篇:暂无资料

武汉慧和聚成科技有限公司(简称:慧和聚成WiserTeam)是一家专业从事CAE仿真应用技术研究、CAE仿真软件研发与销售、工程咨询与技术支持服务的高新技术企业。

地址:武汉市洪山区关山大道77号琨瑜国际中心17层

电话:13100619021

邮箱:market@wiserteam.cn

武汉慧和聚成科技有限公司 版权所有 © 2008-2026 Inc.  鄂ICP备16010856号-1